【数学】基础阶段:整式、分式和函数
2014-08-05 14:24 | 太奇MBA网
管理类硕士官方备考群,考生互动,择校评估,真题讨论 点击加入备考群>>

(完整版)下载地址:
![]() |
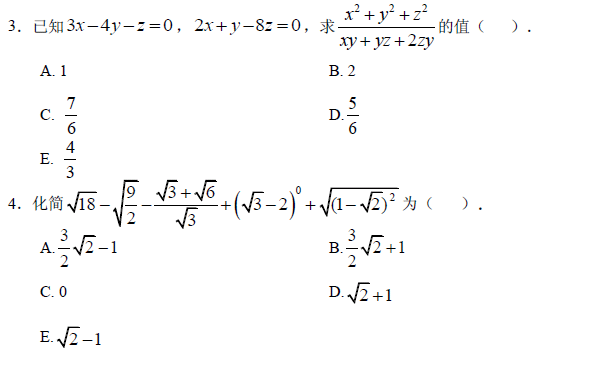
太奇2015年管理类联考辅导 数学整式、分式和函数 |
![]() |
太奇2015年管理类联考辅导 数学整式、分式和函数(解析) |


![]() |
太奇2015年管理类联考辅导 数学整式、分式和函数 |
![]() |
太奇2015年管理类联考辅导 数学整式、分式和函数(解析) |